-
-
軸研所組織開展自動體外除顫儀急救技能專項培訓
2025年09月05日
- 軸研所組織開展自動體外除顫儀急救技能專項培訓 2025年09月05日
- 深耕提質增效 共筑軸研品質——軸研所舉行2025年“質量月”活動啟動儀式 2025年09月05日
- 賦能崗位技能提升 軸研所推出線上教學視頻 2025年09月05日
- 軸研所紀委開展新入職員工廉潔從業專題教育 2025年08月28日
- 國機精工黨委巡察組巡察軸研所黨委工作動員會議召開 2025年08月28日
文章出處:知識中心 網責任編輯:洛陽軸承 閱讀量: 發表時間:2022年03月22日
1 軸承壽命
單個滾動軸承中任意一個元件出現疲勞點蝕前運轉的總轉數或者在一定的轉速下工作的小時數稱為軸承壽命;
基本額定壽命L10:同一批軸承在相同工作條件下工作,其中90%的軸承在產生疲勞點蝕前所能運轉的總轉數(百萬轉)或者一定轉速下的工作時數(失效概率10%);
軸承壽命計算公式:

單位:h試驗轉速n:20%~60%
試驗載荷P:20%~35%
試驗樣本容量:一般取8~20套,另備5~10套做備用樣品;
2 壽命試驗的目的
? 查找軸承自身存在的缺陷,為進一步提高軸承壽命提供數據支撐,因為從產品的設計、制造以及應用的材料都會影響軸承的壽命,影響軸承使用壽命的因素可以分為兩大類:
第一類:軸承本身,如材料、加工精度、熱處理等;
第二類:應用本身,如安裝有誤、工況惡劣(轉速、工作溫度、環境等)等;

? 對軸承的疲勞壽命進行檢驗,得到軸承相關壽命可靠性水平;
? 為軸承的研發、改進等提供方向,為采購等提供文件數據支撐;
3 試驗方法
完全試驗:一組軸承樣品,在相同試驗條件下全部試驗至失效;截尾試驗:一組軸承樣品,在相同試驗條件下部分試驗至失效;

試驗設備
試驗設備內部結構原理
試驗機結構原理圖,包含機架部件、試驗單元、驅動系統、徑向加載系統、軸向加載系統、潤滑系統、冷卻系統、高溫發生系統、測控系統等部件組成。
試驗單元由試驗腔體和試驗頭組成。試驗腔體固定在機架部件中的平板上;試驗頭安裝在試驗腔體內,主要由端負荷體、中負荷體、試驗芯軸、中襯套、端襯套、隔離環、拆卸環、鎖緊螺母和試驗軸承組成。

試驗工裝裝配圖

4 測試
試驗設備一般應連續運轉,對試驗(載荷、轉速、振動、電流、溫度、溫升)進行全程監測,設備本身各參數控制在要求范圍內,對測試設備、測試軸承進行保護,防止測試過程中出現意外損壞設備,也可把軸承的失效控制在最初始階段,有利于失效原因分析,提出改進方向;
試驗過程

試驗過程中,通過轉速、載荷、溫度、振動、電流傳感器進行監測相關參數,傳輸到監測軟件上匯總顯示,需要保溫測試的工況需要增加相應的加熱器(油脂潤滑軸承增加“加熱條”到試驗單元進行加熱,油潤滑試驗通過加熱潤滑油以達到目的)。
試驗結束

載荷&轉速

逐一記錄軸承在試驗中的工作條件變化狀況,如轉速n、徑向載荷Gr、軸向載荷Ga在每個時間點的穩定性,變化趨勢,確保測試條件的準確性及穩定性;
振動

對整個試驗工裝的振動情況進行記錄,對每一時刻的振動值進行記錄,在整個測試中的振動趨勢變化可以全程跟蹤軸承的狀態,是否出現異常以及異常的趨勢變化,分析軸承在測試中哪一階段開始出現異常,是否出現打滑等狀況;
電流

對測試全程進行監測電流狀況,電流的變化趨勢,是否出現過載等;
溫度

溫升

在測試中,對每套軸承的溫度、溫升進行逐一監控,進行詳細記錄每套軸承在每個時間點的溫度狀況,對整個測試的溫度變化形成趨勢,是否形成異常高溫等;
5 測試件分析
分析

失效

6 可靠性評估
可靠度也叫可靠性,指的是產品在規定的時間內,在規定的條件下,完成預定功能的能力,包括結構的安全性,適用性和耐久性。
最佳線性不變估計
a)完全試驗

b)截尾試驗

當r=N時,即為完全試驗;
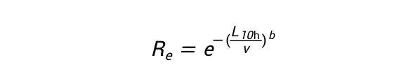
依據b、v估計L10t、L50t以及Re基本額定壽命試驗值:

可靠度:

合格判定
1)L10t、Re數據一般精確到兩位有效數字;
2)L10t/L10h≥Z即為合格,其中球軸承Z=1.4,滾子軸承及調心球軸承Z=1.2;
3)根據質量要求,按如下進行合格評定,長壽命試驗時,試驗報告還應給出達到合格倍數的值;
驗證試驗:達到合格壽命為驗證試驗合格;
鑒定試驗:達到合格壽命3倍為鑒定試驗合格。
(來源:CHIPRO馳創工業服務)
軸研所公眾號 軸承雜志社公眾號
營銷熱線
0379-64367521
0379-64880626
13693806700
0379-64886322
0379-64881181